Амоксициліну тригідрат Опис продукту
Dec 30, 2021
Товари: загальні наркотики, негорючі, невибухові, не корозійні, нетоксичні, нешкідливі, неокислювальні, ненаркотичні, не психотропні засоби, нерадіоактивні та небезпечні вантажі
Назва товару: амоксициліну тригідрат
Амоксициліну тригідрат
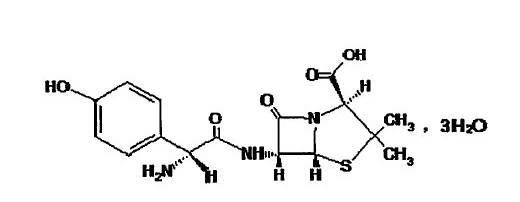
Молекулярна формула (або структурна формула): c16h19n3o5s 3(H2O) 419,46

Детальні фізико-хімічні властивості наступні:
Фізичні властивості: порошок білого кольору
Хімічні властивості: стабільний
Основне використання: фармацевтична сировина
Наступний: Людське волосся TNN 613




